VSiM: Improving QoE Fairness for Video Streaming in Mobile Environments
VSiM: Improving QoE Fairness for Video Streaming in Mobile Environments

INTRODUCTION
移动视频流量和用户需求的快速增长可能导致多个视频流客户端共享瓶颈链路。当多个客户端同时竞争共享瓶颈链路时,多个用户的体验可能会受到网络条件和用户高移动性的显著影响,例如可用带宽的高波动和客户端的高移动速度。
这个问题在5G网络中尤为突出,因为5G网络的基站覆盖范围更小,用户终端的移动性更高,终端需要在基站之间进行更为频繁的handoff。handoff可能会导致卡顿,恶化了qoe。
BACKGROUND AND MOTIVATION
Background
Quality of Experience (QoE).

QoE Fairness.
the max-min QoE fairness , a standard QoE fairness metric, is to maximize $min_{i\in [N]}\frac{QOE_i}{M}$
N:终端数量
M:终端i观看的视频chunk数量
Motivation
Clients’ QoE can be affected by their mobility.
显然,在不同的场景中,用户可能有不同的带宽分配要求。在移动无线网络中,用户的移动性显著影响网络性能,包括QoE和QoE公平性。例如,与低移动速度客户端相比,高移动速度的客户端在基站之间频繁的切换或可能的连接丢失,需要在同一时间段内需要更多的带宽来实现相同的观看质量。

Mobile clients have different buffer-sensitive levels.
在基站中停留时间短的移动视频客户端将经历handoff时间或连接丢失区域,以转到下一个基站或网络。这可能导致该客户遇到卡顿的可能性更高,从而降低其QoE。对于这种客户端,与请求高质量块相比,增加播放缓冲区的数据量对于提高其QoE更为关键。
VSIM SYSTEM
Overview of VSiM

在客户端,我们利用ABR控制器➊ ,收集请求以前的视频块的比特率和Dash播放器的缓冲区状态。从传感器收集关于每个客户的移动性信息➋ (GPS和IMU)。收集的状态信息➌ 然后将其分组、加密并与HTTP请求一起发送给服务器➍ 。在服务器端,对于来自客户端的每个到达的请求,服务器解密状态信息 ,结合移动配置文件信息和基站的拓扑信息➏ 计算客户端的轨迹➎。一旦轨迹已知,服务器将识别客户端连接的基站以及相关参数,例如切换延迟、停留时间和可能影响移动客户端QoE的无连接区域。利用这些值和来自客户端DASH播放器的信息(例如,缓冲区级别和比特率级别),应用效用函数计算每个客户端的最佳权重wi➐,并将其传输到带宽分配模块➑ 。
为了提高这些即将经历handoff的终端的QoE,我们的系统尝试填充他们的播放器缓冲区以增加播放时间,从而减少拒绝的影响。服务器推送模块➒,识别这些潜在客户机,对这些客户机进行优先级排序,并将额外的块推给它们。
Bandwidth Allocation
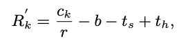
Utility Computation.

r:带宽

ts:还有多长时间离开当前基站
th:从离开当前基站切换到下一个基站所需的时间


Bandwidth allocation.

